
Citiți asta! Situația evoluției COVID-19 în 84 de țări
Citiți asta! A fost prezentată pe Contributors.ro de Ștefan Liiceanu.
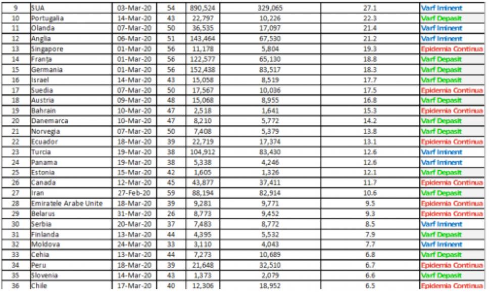
Situația evoluției COVID-19 în 84 de țări:

Citiți asta! A fost prezentată pe Contributors.ro de Ștefan Liiceanu.
Situația evoluției COVID-19 în 84 de țări: